產品系列
- 32.768KHz
- 石英晶振
- 貼片晶振
- 聲表面濾波器
- 陶瓷晶振
- 陶瓷霧化片
- 陶瓷濾波器
- 微孔霧化片
- CTS晶振
- KDS晶振
- 愛普生晶振
- 西鐵城晶振
- 精工晶體
- 村田晶振
- 京瓷晶振
- DST310S晶振
- 日本大河晶體
- NDK晶振
- 亞陶晶振
- 日本富士晶振
- NAKA晶振
- SMI晶振
- NKG晶振
- NJR晶振
- 臺灣加高諧振器
- 臺灣鴻星晶體
- TXC晶振
- 臺灣希華晶振
- 臺灣泰藝晶體
- NSK晶振
- AKER晶振
- Dynamic迪拉尼晶振
- Q-Tech晶振
- ABRACON晶振
- VECTRON晶振
- JAUCH晶振
- ConnorWinfield晶振
- Rakon晶振
- ECS晶振
- Greenray晶振
- ECLIPTEK晶振
- GOLLEDGE晶振
- STATEK晶振
- Pletronics晶振
- SITIME晶振
- Microcrystal晶振
- RALTRON晶振
- AEK晶振
- AEL晶振
- ILSI晶振
- FOX晶振
- fujicom晶振
- CRYSTEK晶振
- interquip晶振
- Geyer晶振
- quartzcom晶振
- qantek晶振
- EUROQUARTZ晶振
- quarztechnik晶振
- Cardinal晶振
- FRE-TECH晶振
- KVG晶振
- wi2wi晶振
- Transko晶振
- suntsu晶振
- mmdcomp晶振
- MERCURY晶振
- MTRONPTI晶振
- ACT晶振
- MTI晶振
- Lihom晶振
- Rubyquartz晶振
- Oscilent晶振
- SHINSUNG晶振
- ITTI晶振
- PDI晶振
- IQD晶振
- Microchip晶振
- Silicon晶振
- Anderson晶振
- Fortiming晶振
- CORE晶振
- NIPPON晶振
- NIC晶振
- QVS晶振
- Bomar晶振
- Bliley晶振
- GED晶振
- FILTRONETICS晶振
- STD晶振
- Wenzel晶振
- NEL晶振
- EM晶振
- PETERMANN晶振
- FCD-Tech晶振
- HEC晶振
- FMI晶振
- Macrobizes晶振
- AXTAL晶振
- SUNNY晶振
- ARGO晶振
- Renesas瑞薩晶振
- SKYWORKS晶振
晶振廠家
進口晶振
臺產晶振
歐美晶振
Tel:0755-27838351
Add:廣東深圳市寶安區67區留仙一路甲岸科技園3棟5樓
Email:konuaer@163.com
QQ:632862232
晶振官方博客
更多>>.jpg)
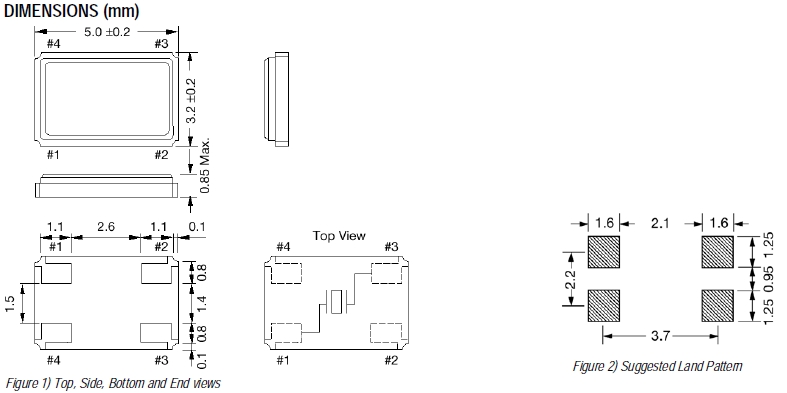
ECS晶振,ECS-100-8-30B-CKM晶振,ECX-53B進口晶振.5032mm體積非常小的SMDcrystal器件,是民用小型無線數碼產品的最佳選擇,小體積的晶振被廣泛應用到,手機藍牙,GPS定位系統,無線通訊集,高精度和高頻率的穩定性能,非常好的減少電磁干擾的影響,是民用無線數碼產品最好的選擇,符合RoHS/無鉛.
貼片晶振晶片邊緣處理技術:貼片晶振是晶片通過滾筒倒邊,主要是為了去除石英晶振晶片的邊緣效應,在實際操作中機器運動方式設計、滾筒的曲率半徑、滾筒的長短、使用的研磨砂的型號、多少、填充物種類及多少等各項設計必須合理,有一項不完善都會使晶振晶片的邊緣效應不能去除,而石英晶振晶片的諧振電阻過大,用在電路中Q值過小,從而電路不能振動或振動了不穩定。
.gif)
| ECS晶振 | 單位 | ECX-53B晶振 | 石英晶振基本條件 |
| 標準頻率 | f_nom | 8.000MHz~150.000MHZ | 標準頻率 |
| 儲存溫度 | T_stg | -55°C ~ +125°C | 裸存 |
| 工作溫度 | T_use | -20°C ~ +70°C | 標準溫度 |
| 激勵功率 | DL | 100μW Max. | 推薦:100μW |
| 頻率公差 | f_— l | ±30×10-6 (標準), |
+25°C 對于超出標準的規格說明, 請聯系我們以便獲取相關的信息, http://m.wftv100.com/ |
| 頻率溫度特征 | f_tem | ±50×10-6/ | 超出標準的規格請聯系我們. |
| 負載電容 | CL | 10PF~20PF | 不同負載要求,請聯系我們. |
| 串聯電阻(ESR) | R1 | 如下表所示 | DL=100μW |
| 頻率老化 | f_age | ±5×10-6/year Max. | +25°C,第一年 |

.gif)

ECS兆級貼片晶振原廠代碼表:
| 原廠編碼 | 型號 | 頻率 | 尺寸 |
| ECS-320-8-30B-CKM | ECX-53B | 32MHz | 0.197" L x 0.126" W (5.00mm x 3.20mm) |
| ECS-250-8-30B-CKM | ECX-53B | 25MHz | 0.197" L x 0.126" W (5.00mm x 3.20mm) |
| ECS-120-8-30B-CKM | ECX-53B | 12MHz | 0.197" L x 0.126" W (5.00mm x 3.20mm) |
| ECS-100-8-30B-CKM | ECX-53B | 10MHz | 0.197" L x 0.126" W (5.00mm x 3.20mm) |
| ECS-160-8-30B-CKM | ECX-53B | 16MHz | 0.197" L x 0.126" W (5.00mm x 3.20mm) |
| ECS-300-8-30B-CKM | ECX-53B | 30MHz | 0.197" L x 0.126" W (5.00mm x 3.20mm) |
| ECS-250-20-30B-TR | ECX-53B | 25MHz | 0.197" L x 0.126" W (5.00mm x 3.20mm) |
| ECS-120-20-30B-TR | ECX-53B | 12MHz | 0.197" L x 0.126" W (5.00mm x 3.20mm) |
| ECS-240-20-30B-TR | ECX-53B | 24MHz | 0.197" L x 0.126" W (5.00mm x 3.20mm) |

滿足功能性能要求
根據特定的內部結構,支架的內部將晶體單元抽空或填充惰性氣體以保持其結構特點。
超聲波焊接機的使用
超聲波焊接機的使用會導致降解超聲共振引起的工作特性分析石英晶體碎片。
表面安裝型晶體單元的安裝
(1)嚴重的溫度變化
在長時間和反復的嚴重溫度變化下焊料可能會破裂;這是由于擴張造成的印刷線路板的溫度系數不同材料和表面貼裝型晶體陶瓷封裝。如果預期會出現這種情況并避免此類問題。
(2)自動安裝引起的沖擊
請注意,在自動安裝過程中,此類過程作為吸附,夾緊或安裝到電路板上,可以對晶體單元施加太大的機械沖擊,并且電氣特性可能會改變或惡化。
(3)彎曲PC板引起的應力
如果晶體單元焊接到PC板后,則電路板是彎曲,機械應力可能導致焊接部分剝離或石英晶體諧振器單元包裝破裂。
(4)接地端子
如果晶體單元配有接地端子,請確保將其焊接到GND或電源端子。如果不是接地,可能無法獲得正確的頻率。
焊接和超聲波清洗
晶體單元的焊接溫度條件是旨在允許同時處理其他電子元件,但取決于產品類型條件可能受到限制。確認使用前的條件。基本上,超聲波清洗助焊劑允許,但在某些情況下,與振蕩共振超聲波清潔器的頻率可能會導致晶體單元的特性惡化。請檢查所有清潔前的條件。

公司成立于1980年,是世界上最知名、經驗最豐富的頻率控制管理產品制造商之一。國際生產各種電子元件。從圓柱形音叉晶體到高穩定性的烤爐控制振蕩器,ECS,inc .提供最多行業中頻率控制設備的綜合。我們擁有世界一流的營銷,銷售,分銷,工程和客戶服務團隊,每天從事全球技術網絡為我們的客戶提供最佳的應用解決方案。
公司的頂尖人才和技術,配合創新的產品開發理念,可能在設計需要精確計時的復雜應用程序時解決復雜的客戶問題。這些制造地點在ECS公司的質量保證標準中占有最大份額,這些制造地點和大多數韓國。嚴格的質量管理認證從國際標準化組織ISO 9001/2008,ISOTS 16949,ISO 14001和符合AECQ標準的產品開始。

嚴格遵守國家職業安全健康法律、法規,培養員工的安全意識和能力,持續改進職業安全健康管理績效,預先采取安全措施,消除或降低危險,優先選用安全系數高的材料、設備及工藝,提高事故預防水平,創造良好的工作環境,保障員工的身心健康。
ECS晶振公司自覺遵守有關環境法律、法規,培養員工的環保意識和能力,持續改進環保績效,優先使用環保型材料、設備及施工工藝,做到污染預防,最終創建具有環保、節能、適宜性特征的優質工程。
美國ECS晶振本于‘善盡企業責任、降低環境沖擊、提升員工健康’的理念,執行各項環境及職業安全衛生管理工作;落實公司環安衛政策要求使環境暨安全衛生管理成效日益顯著,不僅符合國內環保、勞安法令要求,同時也能達到國際環保、安全衛生標準.2003年通過ISO14001環境管理系統驗證,秉持“污染預防、持續改善”之原則。
ECS晶振公司環保環境與發展對策:實行可持續發展戰略。采取有效措施,防治工業污染。提高能源利用效率,改善能源結構。運用經濟手段保護環境。大力推進科技進步,加強環境科學研究,積極發展環境保護產業。健全環境法規,強化環境管理。加強環境教育,不斷提高環境意識。
為確保安全、提高保護預防措施、石英晶振產品的可靠性以及職業安全,確保職業健康與環境的優越性,通過正式的管理評審和對健康、安全和環境實施效果的持續改進,保護人群及財產與環境。
.gif)
1.技術支持 2.客服咨詢
全方位技術指導,專業的技術支持讓您感受到 專業的銷售團隊,耐心為您解答任何疑問,讓您的
前所未有的后顧無憂. 消費得到保障.
3.質量保證,誠信為上 4.提升業績,降低成本
我司以“以科技為動力,以質量求生存”為理念. 為您的產品量身訂制,免費取樣,
為您做到低成本,高效率.

全方位技術指導,專業的技術支持讓您感受到 專業的銷售團隊,耐心為您解答任何疑問,讓您的
前所未有的后顧無憂. 消費得到保障.
3.質量保證,誠信為上 4.提升業績,降低成本
我司以“以科技為動力,以質量求生存”為理念. 為您的產品量身訂制,免費取樣,
為您做到低成本,高效率.

| 深圳市康華爾電子有限公司 |
| 電 話: +86-755-27838351 |
| 手 機:13823300879 |
| 傳 真: +86-755-27883106 |
| Q Q: 632862232 |
| MSN: konuaer@163.com |
| E-mail:konuaer@163.com |
| 網 址:http://m.wftv100.com |
| 地 址:廣東深圳市寶安寶安大道東95號浙商銀行大廈1905 |





銷售代表
售后服務